Differential pressure sensor base artificial lateral line probe, iRon

From FIThydrowiki
Revision as of 11:30, 20 January 2020 by Bendikhansen (talk | contribs)
Jump to navigation Jump to search

NOTE: the citations in this article need updating. Wrong format.File:Broken

Quick summary

Template:Suitable measures for Differential pressure sensor base artificial lateral lime probe, iRon

Figure 1: iRon, the lateral line probe (LLP). NACA0025 body shape showing the locations of the differential pressure sensors (1-6), and the absolute pressure sensor (7)[3].
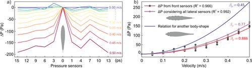
Figure 2: Velocity estimation with an artificial lateral line. a) Distribution of pressure over the body of the lateral line. b) Estimation of velocity considering different pressure differences around the body and different shapes [4].
Figure 3: Distribution of mean pressure asymmetry for different refuge layouts (R0: control, R1: close triangles, and R2: open triangles) and hydrodynamic scenarios [3].

Developed by: Centre for Biorobotics

Date: 2016

Type: Device

Introduction

“iRon” is a device that mimics the lateral line sensory system used by fish in nature (artificial lateral line) and that allows the characterization of flow fields from a fish perspective. First artificial lateral lines were developed to provide sensing capabilities to small underwater robots (EU project FILOSE, 2009-2012 [1]) and they were further developed for environmental monitoring in BONUS FishView project (2013-2016) [2].

In contrast to conventional flow measuring devices (such as ADVs, propellers, etc.), they are streamlined bodies which record the spatial distribution of fluid-body interactions at a sampling rate close to that of the sensory organs (up to 400 Hz in the latest designs). From these records, point-based hydrodynamic parameters such as velocity or turbulence metrics can be estimated, but also body-oriented metrics (“flow asymmetry”).

iRon belongs to a new generation of artificial lateral lines where an increase of sensitivity is achieved by the use of differential pressure sensors. It consists of a 0.22 m long NACA025 streamlined body, which measures the pressure gradients simultaneously using six differential pressure sensors (±2000 Pa MPXV7002). In addition, the water depth is measured by the probe using an absolute pressure sensor (0 to 10000 Pa – MPX5010GP) (Figure 1).

Application

Artificial lateral lines have been successfully applied to estimate flow variables such as velocity [4]–[7] turbulence [4], [5] and also for hydrodynamic classification [8], [9] (Figure 2).

iRon was specially developed for FIThydro project and was designed to conduct biological assessments. The device has been successfully applied to study fish habitats and their spatial preferences [10] as well as to analyze fish’s behavioural responses [3]. To achieve this, the raw data of iRon is translated into body-oriented metrics, mean pressures sensed by the body, pressure fluctuations around the body or asymmetries around the body [10].

In fishways, iRon has shown the potential of characterizing the spatial preferences of fish under variable hydrodynamic scenarios (Video 2) better than standard technologies such as ADV [10]. Among other, this seems to be induced by the higher dimensionality of the iRon that may aid in improving the characterization of fish’s hydraulic preferences.

Another application of iRon has been the characterization of hydrodynamic signatures generated by different refuge structures under hydropeaking scenarios to after analyse fish behavioural responses [3] (Figure 3). This study, among other results, demonstrated the importance of asymmetric flows in the refugee selection by fish, which generates a unique signature in iRon for each scenario and configuration.

All the characterizations so far have been elaborated considering mean differential pressure recorded by the flow, mean fluctuations of differential pressure and mean asymmetries between both sizes of the body [3], [10]. However, the available data can be further exploited, for instance considering the frequency domains of the recorded signals.

Other information

iRon is available for use by interested researchers at no cost. Please contact staff at the Centre for Biorobotics for additional information.

Relevant literature

  • [3] M. J. Costa, J. F. Fuentes-Pérez, I. Boavida, J. A. Tuhtan, and A. N. Pinheiro, “Fish under pressure: examining behavioural responses of Iberian barbel under simulated hydropeaking with instream structures,” PLoS One, vol. 14, no. 1, 2019.
  • [4] J. F. Fuentes-Pérez, J. A. Tuhtan, R. Carbonell-Baeza, M. Musall, G. Toming, N. Muhammad, and M. Kruusmaa, “Current velocity estimation using a lateral line probe,” Ecol. Eng., vol. 85, pp. 296–300, 2015.
  • [5] K. Chen, J. A. Tuhtan, J. F. Fuentes-Pérez, G. Toming, M. Musall, N. Strokina, J.-K. Kämäräinen, and M. Kruusmaa, “Estimation of flow turbulence metrics with a lateral line probe and regression,” IEEE Trans. Instrum. Meas., vol. 66, no. 4, pp. 651–660, 2017.
  • [6] N. Strokina, J.-K. Kamarainen, J. A. Tuhtan, J. F. Fuentes-Perez, and M. Kruusmaa, “Joint Estimation of Bulk Flow Velocity and Angle Using a Lateral Line Probe,” Instrum. Meas. IEEE Trans., vol. 65, no. 3, 2016.
  • [7] J. F. Fuentes-Pérez, K. Kalev, J. A. Tuhtan, and M. Kruusmaa, “Underwater vehicle speedometry using differential pressure sensors: Preliminary results,” in IEEE/OES AUV, 2016, p. 6.
  • [8] J. A. Tuhtan, N. Strokina, G. Toming, N. Muhammed, M. Kruusmaa, and J.-K. Kämäräinen, “Hydrodynamic classification of natural flows using an artifical lateral line and frequency domain features.,” in E-proceedings of the 36th IAHR World Congress, 2015.
  • [9] J. A. Tuhtan, J. F. Fuentes-Pérez, G. Toming, M. Schneider, R. Schwarzenberger, M. Schletterer, and M. Kruusmaa, “Man-made flows from a fish’s perspective: autonomous classification of turbulent fishway flows with field data collected using an artificial lateral line,” Bioinspir. Biomim., 2018.
  • [10] J. F. Fuentes-Pérez, M. Eckert, J. A. Tuhtan, M. T. Ferreira, M. Kruusmaa, and P. Branco, “Spatial preferences of Iberian barbel in a vertical slot fishway under variable hydrodynamic scenarios,” Ecol. Eng., vol. 125, pp. 131–142, Dec. 2018.

Contact information