File:Iron pressure graph.png

From FIThydrowiki
Revision as of 16:31, 10 April 2020 by António (talk | contribs)
(diff) ← Older revision | Latest revision (diff) | Newer revision → (diff)
Jump to navigation Jump to search

Original file(1,387 × 378 pixels, file size: 149 KB, MIME type: image/png)

Description

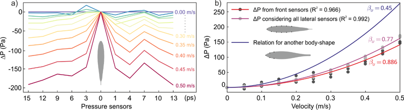
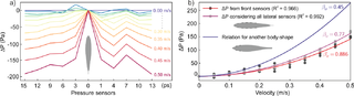
Velocity estimation with an artificial lateral line. a) Distribution of pressure over the body of the lateral line. b) Estimation of velocity considering different pressure differences around the body and different shapes

Author
Source

J. F. Fuentes-Pérez, J. A. Tuhtan, R. Carbonell-Baeza, M. Musall, G. Toming, N. Muhammad, and M. Kruusmaa, “Current velocity estimation using a lateral line probe,” Ecol. Eng., vol. 85, pp. 296–300, 2015

File history

Click on a date/time to view the file as it appeared at that time.

Date/TimeThumbnailDimensionsUserComment
current11:37, 18 June 2019Thumbnail for version as of 11:37, 18 June 20191,387 × 378 (149 KB)Bendikhansen (talk | contribs)
  • You cannot overwrite this file.

Metadata